根據瑞金醫院王剛課題組在General Psychiatry最新公布的一項研究,證實同種異體人脂肪間充質干細胞外泌體治療阿爾茨海默臨床1/2期臨床試驗的安全性和有效性。
作者認為其療效不低于或更優于現有市面的藥物。
全球首個,瑞金醫院證實干細胞外泌體治療阿爾茨海默癥

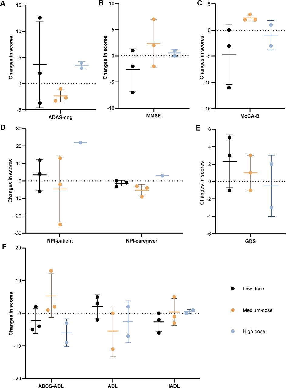
研究團隊使用低中高三種劑量的間充質干細胞外泌體對阿爾茨海默癥患者進行治療。

中等劑量組受試者阿爾茨海默病評估量表-認知部分(ADAS-cog)評分在第12周下降了2.33,蒙特利爾認知評估基礎量表(MoCA-B)評分增加了2.38,表明認知功能有所改善。
此外,中等劑量組受試者ADAS-cog評分至第36周持續下降3.98分。沒有報告不良事件,安全性指標無明顯異常。

作者認為間充質干細胞外泌體鼻內給藥是安全且耐受性良好的,可以對劑量至少為4×10^8顆粒數的外泌體進行進一步的臨床試驗。
這項研究是在阿爾茨海默患者中進行了間充質干細胞外泌體的首次臨床試驗。
作者認為由于可能的后作用效應,在3個月的治療期后,這種改善可以再維持6個月。
治療效果可能在一定程度上歸因于減緩海馬萎縮。
外泌體攜帶和轉移多種具有調節作用的功能分子,如蛋白質、DNA、脂質和RNA,可以改變細胞代謝。在MSC-外泌體的蛋白質組學表征中,已經鑒定了數百種蛋白質,其中一些是特異性細胞類型標記,另一些涉及外泌體與受體細胞結合和融合的調節。還發現了一些促進神經干細胞和其他細胞募集、增殖和分化的因子。此外,在外泌體中發現了廣泛的miRNAs,它們可以控制與神經重塑、血管生成和神經發生有關的功能。考慮到這一點,外泌體的作用機理可能是促進AD神經可塑性,改善認知障礙和部分神經替代。
在討論中,作者也提供了一些有益的經驗:
譬如考慮到高劑量組的兩名受試者在基線時具有較高的adAS-cog評分,這代表患者給藥前的認知狀態相對較差,因此推斷ahaMSCs-Exos可能對中度至重度AD患者不敏感,至少在8×10^8顆粒數時。盡管認知功能沒有改善,但在高劑量組(E007)的受試者中觀察到淀粉樣斑塊負荷減少,這值得深入研究。
此外,兩名早發性疾病患者在治療后都沒有出現認知改善。
因此,進一步的研究應集中于輕度AD患者和因AD引起的輕度認知障礙患者。
阿爾茨海默病(AD)是最常見的神經退行性疾病,是癡呆癥的主要原因,也是老年人死亡的第五大原因。目前尚無有效的治愈手段。
外泌體是細胞在靜息或應激狀態下釋放的細胞外囊泡,富含脂質、蛋白質和核酸。它們可以通過體液遞送到遠處區域,并通過3種途徑被靶細胞吸收:膜融合、內吞和配體-受體介導的機制。
間充質干細胞(MSCs)衍生的外泌體提供了一些無與倫比的優勢,包括低免疫原性、從商業上細胞系大量合成的可獲得性、在收集或分化中避免了侵入性以及儲存簡單等特性。
由于其到達大腦的能力,由間充質干細胞釋放的外泌體為開發AD疾病緩解策略帶來了新的希望。
早前研究表明側腦室注射和系統注射間充質干細胞來源外泌體可改善了AD動物的認知障礙。
作者團隊已經證實了來自健康志愿者的同種異體人脂肪來源的MSCs外泌體(ahaMSC-Exos)鼻內治療用于AD小鼠的潛力。
在以每只小鼠鼻內給藥后,ahaMSCs-Exos可以通過涉及嗅覺感覺神經元的嗅覺系統快速轉運到各個大腦區域。大腦中的ahaMSCs-Exos在給藥后1小時達到峰值,并且主要被神經元吸收。在APP/PS1小鼠中,ahaMSCs-Exos表現出神經保護作用,增加神經發生和增強空間記憶。ahaMSCs-Exos似乎也能減少淀粉樣β蛋白沉積和抑制小膠質細胞活化。重要的是,ahaMSCs-Exos沒有誘導關鍵器官的形態學改變,表明鼻內給藥的安全性。
另一項研究表明,在3xTg小鼠模型中,鼻內注射MSCs外泌體可能通過抑制小膠質細胞活化和增加樹突棘密度來改善AD。
這些發現清楚地證明了間充質干細胞外泌體對AD的治療潛力,并呼吁在臨床中進行嘗試。
參考資料:
謝X ,宋Q ,戴C ,等同種異體人脂肪間充質基質細胞衍生的外泌體在輕度至中度阿爾茨海默病患者中的臨床安全性和有效性:I/II 期臨床試驗,普通精神病學2023;36:e101143。DOI: 10.1136/gpsych-2023-101143
免責說明:本文僅用于傳播科普知識,分享行業觀點,不構成任何臨床診斷建議!杭吉干細胞所發布的信息不能替代醫生或藥劑師的專業建議。如有版權等疑問,請隨時聯系我。
掃碼添加微信