導語:狼瘡性腎炎是一種人體免疫系統攻擊自身細胞和器官的疾病,稱為自身免疫性疾病。干細胞療法是治療狼瘡最有前景的新醫學方法之一,特別是對那些對傳統治療方式反應不佳的患者。這種創新的方法已經研究了十多年,通過改善疾病活動和癥狀管理帶來了希望。
什么是狼瘡性腎炎
狼瘡性腎炎(Lupus Nephritis, LN)是系統性紅斑狼瘡的一種嚴重并發癥,主要表現為腎臟受累。其發病機制與免疫復合物形成、免疫細胞和細胞因子等免疫異常有關。
狼瘡性腎炎的癥狀多樣,可以表現為血尿、蛋白尿、腎功能不全等。此外,患者還可能有系統性紅斑狼瘡的全身表現,如發熱、面部紅斑、關節痛、貧血、心肌炎等。
臨床研究發現狼瘡性腎炎的干細胞療法為那些與狼瘡性腎炎作斗爭的患者們提供了一條突破性的途徑,特別是對于那些發現傳統治療無效的患者。
南大金陵醫院發布的一項研究結果顯示干細胞移植后狼瘡性腎炎患者的癥狀顯著改善。

國內三甲醫院:干細胞移植后狼瘡性腎炎患者的癥狀顯著改善
2019年5月,南京大學醫學院金陵醫院在國際期刊《Clinical Journal of the American Society of Nephrology》上發布了一篇《自體造血干細胞移植治療難治性狼瘡性腎炎》的研究結果。

目的:本研究評估了自體造血干細胞移植治療難治性狼瘡性腎炎患者的有效性和安全性。
方法:本研究從2011年7月至2015年1月共入組22例難治性狼瘡性腎炎患者,以環磷酰胺和粒細胞集落刺激因子動員外周血干細胞,經環磷酰胺和抗胸腺球蛋白治療后再回輸。主要終點為緩解率,次要終點包括生存率和復發率、蛋白尿、腎功能和血清學免疫學檢查的變化。記錄所有并發癥以進行安全性評估。
患者移植前臨床特征

結果:疾病活動性和腎臟結果
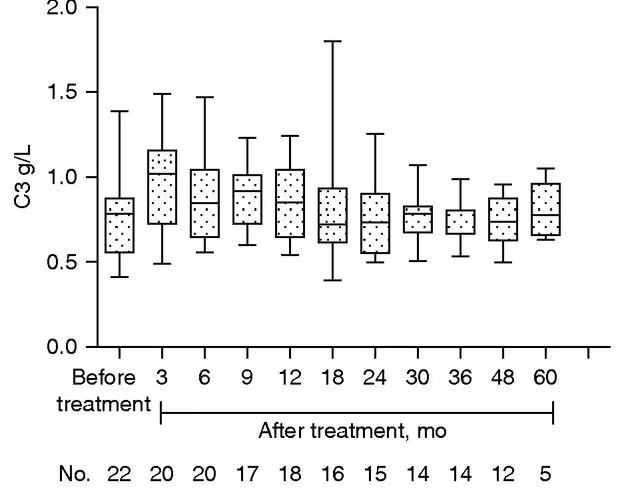
自體干細胞移植后,補體 3 (C3)、補體 4 (C4) 抗核抗體 (ANA) 和 SLE 疾病活動指數評分 (SLEDAI) 均得到改善。見(圖1A-D)

自體干細胞移植后 C3 較移植前顯著升高,C3 中位值由移植前 0.55(0.44 ~ 0.70)g/L 升高至移植后 3 個月的 0.98(0.84 ~ 1.12)g/L

C4 亦在隨訪過程中有所改善,但差異無統計學意義。

ANA 中位值在移植后短期內亦有所下降。

SLE 疾病活動指數評分在移植后 1 個月內即顯著下降,并在隨訪期間維持在較低水平
自體干細胞移植后蛋白尿(UPro)和血清白蛋白(Alb)得到改善(見圖2)

隨訪期間蛋白尿和血清白蛋白的變化
整個隨訪期間平均蛋白尿<0.5 g/24 h,平均血清白蛋白>4.5 g/dl。
隊列中患者的完全緩解、腎臟存活(見圖3A,圖3B)

18 例患者獲得完全緩解,中位完全緩解時間為 3(1,8.5)個月
1 例患者在 12 個月時接受腹膜透析。

總體 5 年腎臟生存率為 86%
總體生存率和隨訪
復發時間和總存活率的概率(見圖3C,圖3D)

本研究的移植相關死亡率(TRM)為5%。中位復發時間為31(13.5,55)個月,5年無復發生存率為53%

中位隨訪時間72(60,80)個月,5年總生存率為91%
主要發生在6個月內,其他并發癥包括純紅細胞再生障礙性貧血、B型胰島素抵抗綜合征、白細胞減少、血小板減少。
總結:共入組 22 例患者接受干細胞移植。所有患者均成功植入,中位粒細胞和血小板植入時間分別為 8(7 ~ 9)和 9(6 ~ 10)天。干細胞移植的主要并發癥是發熱和胃腸道癥狀。治療相關死亡率為 5%(22 例中 1 例)。
中位隨訪時間為 72個月,18 例(82%)患者獲得完全緩解,1 例(5%)患者獲得部分緩解,1 例患者無反應并在移植后 12 個月接受腹膜透析。
5年總生存率及無病生存率分別為91%和53%。隨訪期間6例患者出現復發,復發率為27%。考慮到所有患者均患有難治性狼瘡性腎炎,這個結果是令人鼓舞的。
結論
自體造血干細胞移植可作為難治性狼瘡性腎炎的治療選擇,因為自體造血干細胞移植相對安全并且療效良好。
參考資料:
Autologous Hematopoietic Stem Cell Transplantation for Refractory Lupus Nephritis,Huang, Xianghua; Chen, Wencui; Ren, Guisheng; Zhao, Liang; Guo, Jinzhou; Gong, Dehua; Zeng, Caihong; Hu, Weixin; Liu, Zhihong.
免責說明:本文僅用于傳播科普知識,分享行業觀點,不構成任何臨床診斷建議!杭吉干細胞所發布的信息不能替代醫生或藥劑師的專業建議。如有版權等疑問,請隨時聯系我。
版權說明:本文來自杭吉干細胞科技內容團隊,歡迎個人轉發至朋友圈,謝絕媒體或機構未經授權以任何形式轉載至其他平臺,轉載授權請在網站后臺下方留言獲取。
掃碼添加微信