在醫學探索的漫漫長路中,帕金森病(PD)始終是一座橫亙在患者與健康之間的險峻高山。多年來,傳統治療手段雖能在一定程度上緩解癥狀,卻難以從根本上阻止疾病的進展。隨著生命科學領域的蓬勃發展,干細胞治療技術宛如一顆冉冉升起的新星,為攻克帕金森病帶來了新的曙光。越來越多的目光聚焦于此,期望能從干細胞的神奇特性中找到治愈帕金森病的密鑰。
近期,《臨床神經科學雜志》發表了一項“面部移植脂肪源性間充質血管成分細胞在兩名帕金森病患者中持續臨床改善”的臨床研究的文章。

研究對2例PD患者開展治療。將含6000萬個有核細胞的自體脂肪衍生基質血管部分(SVF)細胞制劑,植入患者面部肌肉與鼻腔。采用PDQ – 39、UPDRS 及系列視頻盲法評估,時長分別為5年(患者1)與1年(患者 2)。
結果顯示,患者運動與非運動癥狀均有定性改善,PDQ-39分數下降,服藥后UPDRS運動評分降低,部分患者藥物劑量減少。停藥后UPDRS 評分與治療前服藥時相近。該初步研究表明,SVF制劑局部注射可為PD患者帶來長期臨床益處,盡管機制不明,但值得深入研究。
面部移植間充質干細胞治療2例帕金森病患者,患者臨床癥狀持續改善
目前,帕金森病(PD)的醫學治療主要聚焦于緩解癥狀,而細胞療法因具備改善疾病的潛力,在神經退行性疾病的臨床應用中愈發受到關注。多能間充質干細胞 / 基質細胞(MSC)最初在成人骨髓中被發現,后在多種成人組織中也有分布,包括脂肪組織。從脂肪組織經酶消化、濃縮后可獲取基質血管部分(SVF),它是由多種細胞混合而成,脂肪來源的SVF細胞能分泌多種具有免疫調節和營養活性的旁分泌因子。

此前有研究報道,在神經退行性疾病中,靜脈注射脂肪來源干細胞(ASC)雖有一定效果,但靜脈途徑存在到達目標部位的有效細胞數量減少的問題,尤其在試圖抵達中樞神經系統(CNS)時更為明顯。面部組織血供豐富,其靜脈引流至眼科和眶周循環,為細胞產品進入腦循環提供了潛在途徑,鼻腔給藥后細胞制劑也可快速到達蛛網膜下腔。
本文介紹了兩例有癥狀的PD患者病例,在將脂肪來源的SVF細胞局部注射到面部軟組織后,患者癥狀得到了持續改善。
材料和方法
所有臨床程序均符合人體實驗負責委員會(機構和國家,尼加拉瓜國立自治大學 – 萊昂分校)和 1975 年《赫爾辛基宣言》(2000 年修訂)的倫理標準。本案例研究中的參與者已獲得知情同意。患者也同意發表這項研究。
臨床評估
術前和術后評估采用以下方法進行:(1)牛津大學帕金森病生活質量量表(PDQ-39,圖1),(2)臨床神經系統檢查和統一帕金森病評分量表(UPDRS,圖2)。連續 UPDRS 評分通過視頻記錄。為準備發表,我們獲取了停藥(未服用多巴胺能藥物或抗膽堿能藥物12小時以上)和用藥視頻。根據標準計算,將藥物劑量轉換為左旋多巴等效日劑量 (LEDD)?。

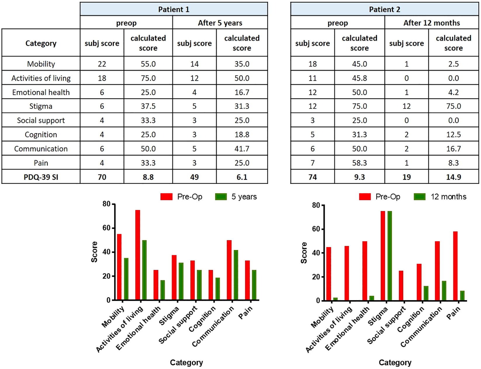
患者在注射自體脂肪來源的基質血管成分 (SVF) 細胞后接受測試時,所有領域均有所減少或持平,其中活動能力和日常生活活動能力領域的減少最為明顯。

隨著自身產量的減少,左旋多巴需求量通常也會隨著時間推移而增加。運動評分通常也會增加,盡管會通過增加劑量而改善。在這里,我們看到的是癥狀嚴重程度評分在藥物需求量穩定到下降的背景下穩定到下降。與最初的用藥評分相比,兩名受試者的治療后停藥評分 (12小時洗脫期) 也較低。藍線表示受試者的注射。LEDD=左旋多巴等效日劑量。UPDRS=統一帕金森病評定量表第3部分 (運動分量表)“停藥”定義為停用所有抗帕金森病藥物>12小時。散點圖中給出的所有分數均為用藥分數。
我們在這里記錄了兩名PD患者的積極臨床效果,他們接受了自體脂肪來源的基質血管部分(SVF)細胞制劑治療,植入面部和鼻腔。兩名帕金森病患者將加工后的SVF中的6000萬個有核細胞移植到面部肌肉和鼻子中。使用PDQ-39、UPDRS進行長達5年(患者1)和1年(患者2)的連續評估。
間充質干細胞治療帕金森病的臨床結果
患者基本情況
患者1:患者1是一名72歲的男性,患有以震顫為主的PD。
2009年,他的發病癥狀是左手震顫。
2010年,他出現左頸肩肌張力障礙和左腿僵硬,后者影響了他的步態和駕駛能力。隨后,他被診斷出患有PD,并開始接受治療(卡比多巴/左旋多巴)。到2012年,他變得難以從椅子上站起來、穿褲子或扣襯衫扣子。
2013年,延髓功能障礙變得明顯,言語惡化、面部掩蔽和流涎更加明顯。由于他的病情迅速惡化,2014年,尼加拉瓜國立大學選中該患者參加概念驗證試點試驗,測試使用SVF細胞作為該疾病的即時治療替代方案。
患者2:患者2為50歲女性,2010年出現軀干和下肢僵硬癥狀。她被診斷患有PD并開始接受治療(卡比多巴/左旋多巴)。到2015年,她開始出現行走困難,行走緩慢,右腳拖拽感比左腳更強烈。她出現了右腳靜止性震顫。基于患者 1 的治療結果令人鼓舞(見下文),她也參加了上述試點研究。
間充質干細胞治療帕金森病的效果
患者1:注射細胞后,患者在兩周后注意到主觀改善,這種改善在五年后仍然持續。據患者稱,這些包括運動改善(步態改善、坐立和彎腰、餐具使用、書寫、面部動畫、聲音調節和音量)和非運動改善(皮膚干燥改善、流涎減少、性功能和性欲改善以及疲勞減少)。UPDRS3和藥物劑量變化如圖2A所示,檢查視頻作為補充材料提供(不幸的是,沒有獲得患者1的治療前視頻)。
患者2:注射細胞后,患者報告稱其坐姿、在床上翻身的能力以及精細運動技能和面部動畫方面均有主觀改善。睡眠模式得到改善。她的右腳震顫有所改善。UPDRS3和藥物劑量變化如圖2B所示。所有UPDRS分數和檢查視頻均作為補充材料提供(表1)。

有多種證據支持全身性施用MSC作為PD的新療法這一概念。人類脂肪間充質干細胞 (hASC) 可分化為神經元樣細胞。這些細胞經靜脈注射后,已被證實會遷移到帕金森病病導致的腦損傷區域。
我們在此介紹了兩例PD患者,他們在面部軟組織局部注射脂肪來源的SVF細胞后表現出長期神經反應。患者主觀上早在 2周就注意到了改善,主觀上在4-6個月時達到峰值。兩名患者仍報告了持續的益處(患者1治療后5年,患者2治療后12個月)。這些病例表明,面部注射的SVF細胞在原位存活,并可能遷移到它們產生在黑質紋狀體通路水平發揮營養作用的因子的部位。
結論
本病例凸顯了SVF細胞移植到面部的不尋常臨床結果。癥狀和體征可能很快顯現,并且隨著時間的推移具有潛在的長期穩定性。導致這些結果的機制尚不清楚。有必要對使用SVF治療PD進行進一步研究,以驗證療效并闡明最佳給藥途徑和潛在作用機制。
參考資料:[1]https://www.jocn-journal.com/article/S0967-5868(20)31478-8/fulltext#f0010
免責說明:本文僅用于傳播科普知識,分享行業觀點,不構成任何臨床診斷建議!杭吉干細胞所發布的信息不能替代醫生或藥劑師的專業建議。如有版權等疑問,請隨時聯系我。
掃碼添加微信