背景
慢性肝病(CLD),主要由肝炎病毒感染、中毒性損傷、酗酒、代謝紊亂或遺傳缺陷引起,是一個重要的全球健康問題。僅在中國,據估計就有超過4億人患有CLD,主要是病毒性肝炎、代謝相關性脂肪肝和酒精性肝病。鑒于CLD的自然病程,這些患者進展為晚期纖維化、肝硬化和肝硬化相關并發癥(包括慢性肝衰竭(ACLF)和肝細胞癌)的風險很高。2016年,肝硬化和肝癌在全球主要死因中分別位列第 11 位和第 16 位,死亡人數超過200萬。
目前,肝移植(LT)是終末期肝病的最終治愈方法。然而,器官可用性有限、成本高、移植相關并發癥和終生免疫副作用使許多患者無法從LT中獲益。因此,人們一直在尋求LT的替代治療策略。
干細胞療法正在成為具有巨大潛力的CLD的新興治療選擇,因為與LT相比,它是一種侵入性較小且效果可能相同的療法。盡管越來越多的臨床研究,從早期的概念驗證研究到隨機對照試驗 (RCT),都在探索干細胞治療在一系列不同肝病環境中的安全性和有效性,無論是干細胞療法與傳統療法相比具有更好的治療效果仍然未知,其安全性也是如此。更重要的是,關于細胞來源(自體或同種異體;骨髓或臍帶血)、給藥劑量、輸注途徑(肝內、脾內或靜脈內)和輸送頻率(單次或多次),迄今為止尚未公布標準化方案, 雖然這些因素無疑是影響干細胞治療效果的首要因素, 甚至會引起一系列副作用。
干細胞治療慢性肝病的療效和安全性的臨床試驗分析
2020年9月25日,首都醫科大學附屬北京友誼醫院在國際期刊《Stem Cell Research and Therapy》上發布了一篇《干細胞治療慢性肝病的治療效果和安全性:隨機對照試驗的系統評價和薈萃分析》的研究結果。

以往的系統評價匯集了RCT和非RCT的分析,但不同設計的研究不應統一分析。此外,它們都沒有包括所有相關的隨機試驗,而隨機對照試驗被評估為循證醫學中新療法療效的最佳佐證。因此,之前發表的系統評價在確定CLD患者是否可以從干細胞治療中獲益方面的效力有限。因此,我們對所有現有的RCT進行了系統回顧和薈萃分析,以更全面和定量地了解干細胞療法治療CLD的療效和安全性。
方法
首都醫科大學附屬北京友誼醫院系統地搜索了 MEDLINE、EMBASE、Cochrane 對照試驗中心注冊中心 (CENTRAL) 和ClinicalTrials.gov數據庫,時間跨度從開始到2020年3月16日。
主要結果是全因死亡率和與干細胞治療相關的不良事件。
次要結果包括終末期肝病模型 (MELD) 評分、肝功能參數(總膽紅素 (TBIL)、白蛋白 (ALB) 和丙氨酸轉氨酶 (ALT))、和凝血功能(凝血酶原活性(PTA)和國際標準化比值(INR))。
結果
研究選擇
我們通過搜索四個數據庫以及檢索到的文章和相關評論的參考文獻列表,共確定了2862篇可能符合條件的文章,其中431篇因重復而被排除。經過標題和摘要審查,進一步排除了2338篇文章,剩下93篇可能相關的文章。在對全文進行詳細評估后,進一步排除了69篇論文。最后,24項研究被納入本薈萃分析。研究選擇流程圖見圖1。

24項納入研究的特征見表1。這些研究于2010年至2019年間發表于巴西 ( n=1)、中國 ( n=13)、埃及 ( n=4)、伊朗 ( n=3)、韓國 ( n=1)、瑞士 ( n=1),以及英國 ( n=1)。共納入1359名患者,其中746名患者接受干細胞治療,613名患者接受常規治療。這些研究包括肝纖維化 ( n=1)、肝硬化 ( n=17) 和肝功能衰竭 ( n=6) 患者。干細胞來源于骨髓(BM-MSCs;n=8和BM-MNCs;n=6)、臍帶(UC-MSC;n=8)和外周血(PBSC;n=2),其中15個涉及自體移植,其余涉及同種異體移植。干細胞通過外周靜脈(n=12)、肝動脈(n ?= 7)、門靜脈(n=2)或多種途徑(n=3)進入肝臟。11項研究采用單細胞注射,11項研究采用多細胞注射,2項研究同時采用(單次和多次注射)。
| Study | Country | Patient population | Enrollment period | Sample size (Exp/Con) | Male (Exp/Con) | Average age (Exp/Con) | Cell type | Delivery route | Times of injection | Number of stem cells | Follow-up period (weeks) |
|---|---|---|---|---|---|---|---|---|---|---|---|
| Lyra AC, 2010 | Brazil | Advanced chronic liver disease | 2006.1–2006.4 | 15/15 | N/A | 56.7/50.0 | Autologous BM-MNCs | Hepatic artery | Single | 3.0 (0.88–11.2)?×?108 | 48 |
| Salama H, 2010 | Egypt | End-stage liver cirrhosis | 2008.6–2009.5 | 90/50 | 78/39 | 50.3/50.9 | Autologous BM-HSCs | Portal vein | Single | 0.5?×?108 | 24 |
| Amer ME, 2011 | Egypt | HCV-related end-stage liver failure | 2008.10–2009.6 | 20/20 | 16/17 | 50.5/50.0 | Autologous BM-MSCs | Intrasplenic injection/portal vein | Single | 2.0?×?108 | 24 |
| Lin H, 2012 | China | Decompensated liver cirrhosis | 2009.1–2010.1 | 38/16 | 34/15 | 47/48* | AllogeneicUC-MSCs | Peripheral vein | Multiple | (0.5–1.0)?×?106/kg | 48 |
| Shi M, 2012 | China | HBV-related ACLF | 2009.3–2010.9 | 24/19 | 20/15 | 40/45* | AllogeneicUC-MSCs | Peripheral vein | Multiple | 0.5?×?106/kg | 72 |
| Zhang YF, 2012 | China | Decompensated liver cirrhosis | 2009.3–2010.12 | 12/18 | 8/13 | 48.6/49.9 | AllogeneicUC-MSCs | Hepatic artery | Single | ≥?2.0?×? 107 | 12 |
| Zhang Z, 2012 | China | HBV-related decompensated liver cirrhosis | N/A | 30/15 | 26/14 | 48/47* | AllogeneicUC-MSCs | Peripheral vein | Multiple | 0.5?×?106/kg | 48 |
| Mohamadnejad M, 2013 | Iran | Decompensated liver cirrhosis | 2007.7–2010.8 | 14/11 | 7/6 | 43.1/34.6 | Autologous BM-MSCs | Peripheral vein | Single | (1.2–2.95)?×?108 | 48 |
| Spar L, 2013 | Switzerland | Decompensated alcoholic liver disease | 2008.2–2011.3 | 28/30 | 24/20 | 54/56* | Autologous BM-MNCs | Hepatic artery | Single | (0.47?±?0.15)?×?108/kg | 12 |
| Wang QC, 2013 | China | Decompensated liver cirrhosis and chronic liver failure | 2011.11–2010.5 | 9/9 | 14 | 50.7 | AllogeneicUC-MSCs | Peripheral vein | Multiple | (1.2–6.2)?×?107/mL | 4 |
| Salama H, 2014 | Egypt | HCV-related end-stage liver disease | 2010.6–2011.10 | 20/20 | 17/16 | 50.3/50.9 | Autologous BM-MSCs | Peripheral vein | Single | 1?×?106/kg | 26 |
| Xu L, 2014 | China | HBV-related liver cirrhosis | 2012.3–2012.12 | 20/19 | 13/11 | 44/45 | Autologous BM-MSCs | Hepatic artery | Single | (0.75?±?0.5)?×?106 | 24 |
| Deng QZ, 2015 | China | HBV-related decompensated liver cirrhosis | 2011.7–2013.12 | 33/35 | 20/12 | 49.5/50.2 | Autologous PBSCs | Hepatic artery | Single | (2–4)?×?107 | 48 |
| Li YY, 2015 | China | HBV-related ACLF | 2009.10–2015.5 | 31/27 | 28/24 | 41.6/43.1 | AllogeneicUC-MSCs | Peripheral vein | Multiple | (0.5–1.0)?×?106/kg | 48 |
| Zekri AR, 2015 | Egypt | HCV-related liver cirrhosis | 2010.5–2012.5 | 60/30 | 51/26 | 50.3/49.4 | Autologous BM-CD34+/CD133+ cells | Portal vein/peripheral vein | Single/multiple | 1?×?106/kg | 48 |
| Mohamadnejad M, 2016 | Iran | Decompensated liver cirrhosis | 2010.3–2012.6 | 10/9 | 7/5 | 43.9/46.2 | Autologous BM-MNCs | Portal vein | Multiple | (7.62?±?5.53)?×?106 (9.17?±?5.24)?×?106 | 48 |
| Suk KT, 2016 | South Korea | Alcoholic liver cirrhosis | 2013.1–2015.11 | 37/18 | 32/17 | 53.8/53.7 | Autologous BM-MSCs | Hepatic artery | Single/multiple | 5?×?107 | 48 |
| Fang XQ, 2017 | China | HBV-related decompensated liver cirrhosis | 2013.1–2016.5 | 59/59 | 43/41 | 51.8/50.4 | AllogeneicUC-MSCs | Hepatic artery/peripheral vein | Multiple | (4.0–4.5)?×?108 | 52 |
| Lin BL, 2017 | China | HBV-related ACLF | 2010.10–2013.4 | 56/54 | 51/53 | 40.0/42.8 | Allogeneic BM-MSCs | Peripheral vein | Multiple | (1.0–10)?×?105/kg | 24 |
| Wu YZ, 2017 | China | HBV-related decompensated liver cirrhosis | 2014.3–2016.2 | 42/42 | 25/24 | 49/50 | Autologous BM-MSCs | Hepatic artery | Single | 1?×?106/kg | 48 |
| Zhang D, 2017 | China | Liver fibrosis | 2012.1–2015.1 | 30/30 | 16/17 | 31.0/32.1 | Autologous BM-MSCs | Peripheral vein | Multiple | 3?×?106/mL | 12 |
| Newsome PN, 2018 | UK | Compensated liver cirrhosis | 2010.5–2015.2 | 28/27 | 22/13 | 56.5/52.0 | Autologous PBSCs | Peripheral vein | Multiple | 0.6?×?106/kg | 48 |
| Esmaeilzadeh A, 2019 | Iran | Decompensated liver cirrhosis | 2014.9–2015.6 | 10/10 | 9/8 | 46.0/45.2 | Autologous BM-MNC | Peripheral vein | Single | (2.15–12.3)?×?106/kg | 24 |
| Xu WX, 2019 | China | HBV-related ACLF | 2012.1–2017.9 | 30/30 | 29/28 | 40.7/45.0 | AllogeneicUC-MSCs | Peripheral vein | Multiple | 1.0?×?105/kg | 48 |
治療安全性和有效性評估
全因死亡率
17項研究(3452名受試者)被納入全因死亡率分析(圖3)。與常規治療相比,干細胞治療與全因死亡率顯著降低相關,第4周(OR=0.24,95%CI0.11至0.51;P=0.0002)、第12周(OR=0.49,95%CI0.29至 0.80;P=0.005)和第48周(OR=0.56,95%CI0.37至0.87;P=0.01)。

MELD評分
MELD評分分析中包括15項研究(3098名受試者)(圖4)。治療前,實驗組和對照組之間未觀察到顯著差異(SMD=?0.14,95%CI?0.28至0.00;P=0.06)。治療后,干細胞療法與第2周(SMD=?0.79,95%CI? 1.44至?0.15;P=0.02)、第8周(SMD=?0.58,95%CI?0.84至?0.32;P<0.0001),第12周(SMD=?0.37,95%CI?0.62至?0.12;P=0.003)和第24周(SMD=?0.57,95%CI?0.92至?0.23;P=0.001)。

TBIL等級
19項研究(4708名受試者)被納入TBIL水平的分析(圖5)。治療前,實驗組和對照組之間未觀察到顯著差異(SMD=?0.04,95%CI?0.17至0.09;P=0.53)。治療后,干細胞治療與第4周(SMD=?0.31,95%CI? 0.58至?0.05;P=0.02)、第12周(SMD=?0.43,95%CI?0.70至?0.17;P=0.001),第24周(SMD=?0.40,95%CI?0.75至?0.05;P=0.02)和第48周(SMD=?0.29,95%CI ? 0.51至?0.06;P= 0.01)。

ALB級別
17項研究(4173名受試者)被納入ALB水平的分析(圖6)。治療前,實驗組和對照組之間未觀察到顯著差異(SMD =?0.02,95%CI?0.27至0.23;P=0.88)。治療后,干細胞療法與第2周(SMD=0.69,95%CI 0.03至1.35;P=0.04)、第 4 周(SMD=0.40,95%CI 0.13至0.66;P=0.003 )的ALB水平顯著升高相關),第8周(SMD=0.61,95%CI0.11至1.12;P=0.02),第24周(SMD=0.62,95%CI0.03至1.21;P=0.04),第36周(SMD=1.42,95% CI 0.56 至 2.28;P=0.001)和第48周(SMD=0.95,95%CI0.07至1.83;P= 0.03)。

ALT水平
16項研究(3670名受試者)被納入ALT水平的分析(圖7)。治療前,實驗組和對照組之間未觀察到顯著差異(SMD=?0.08,95%CI?0.21至0.06;P=0.26)。治療后,干細胞療法僅在第12周與顯著降低的ALT水平相關(SMD=?0.54,95%CI?0.91至?0.17;P=0.004)。

凝血功能(PTA 和 INR)
包含2853名參與者的10項研究和包含2151名參與者的9項研究被納入PTA水平的分析(圖8)和INR水平(圖9), 分別。治療前,在實驗組和對照組之間未觀察到PTA水平和INR水平的顯著差異[(SMD=0.04,95% CI – 0.17至0.24;P=0.71),(SMD=0.13,95%CI-0.53至0.27;P=0.53)]。治療后,干細胞治療與第 24周時PTA水平顯著升高(SMD=0.51,95%CI 0.09 至 0.94;P=0.02)和第8周時INR水平降低(SMD = ? 0.53,95% CI?0.87)相關至?0.19;P=0.002)。


亞組分析
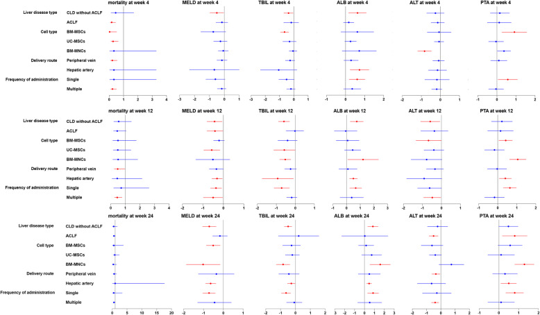
我們進行了亞組分析,以探討干細胞治療對第4、12和24周死亡率、MELD評分以及TBIL、ALB、ALT和PTA 水平的影響是否受到不同疾病人群、細胞類型、遞送途徑、和給藥頻率(圖10)。

紅色表示干細胞治療組較常規治療組有明顯改善;
藍色表示沒有顯著改善。
肝病類型(ACLF與無ACLF的CLD)
與常規治療組相比,干細胞治療與ACLF亞組的全因死亡率降低相關,第4周全因死亡率降低表明。干細胞治療與非ACLF的CLD患者的肝功能改善更多相關亞組,如第4、12和24周時MELD評分降低、TBIL水平降低和ALB水平升高所示。干細胞治療與ACLF亞組中肝功能的改善有關,如第12周時MELD評分降低所示,第24周時ALT水平降低,第24周時PTA水平升高。
細胞類型(BM-MSC、UC-MSC與BM-MNC)
與常規治療組相比,干細胞治療與 BM-MSC 和 US-MCS 亞組中較低的全因死亡率相關,如第 4 周全因死亡率降低所示。干細胞治療與更多改善肝臟相關BM-MSC 亞組的功能,如第 24 周時 MELD 評分降低、第 4 周時 TBIL 水平降低、第 12 周時 ALT 水平降低以及第 4 周和第 12 周時 PTA 水平升高所示。干細胞治療與更多改善相關BM-MNC 亞組的肝功能,表現為第 24 周時 MELD 評分降低,第 12 周和第 24 周時 TBIL 水平降低,第 12 周和第 24 周時 ALB 水平升高,第 4 周時 ALT 水平降低,以及第 3 周時 PTA 水平升高12 和 24。干細胞療法與 UC-MSC 亞組中更多改善的肝功能相關,如第 12 周時 MELD 評分和第 12 周時 TBIL 水平降低所示。
輸送途徑(外周靜脈與肝動脈)
與常規治療組相比,干細胞治療與外周靜脈給藥亞組的全因死亡率降低相關,第4周和第12周全因死亡率降低表明。干細胞治療與肝功能改善相關肝動脈給藥亞組,如第12周和第24周時MELD評分和TBIL水平降低所示;第4、12和24周時ALB水平升高;并且在第12周和第24周時PTA水平升高。干細胞治療與外周靜脈給藥亞組的肝功能改善有關,如第24周時ALT水平降低所示。
給藥頻率(單次注射與多次注射)
與常規治療組相比,干細胞治療與多次注射亞組的全因死亡率降低相關,第4周和第12周全因死亡率降低表明。干細胞治療與肝功能改善相關單次注射亞組,如第12周和第24周時MELD評分和TBIL水平下降所示;第 4、12和24周時ALB水平升高;并且在第4、12和24周時PTA水平升高。干細胞治療與多次注射亞組的肝功能改善相關,第12周時MELD評分降低,第12周和24周時ALT水平降低。
與干細胞治療相關的不良事件
五項研究報告細胞輸注后沒有手術并發癥,而13項研究報告了干細胞治療的不良事件,包括發燒、短暫性寒戰、局部疼痛、瘀斑/血腫、皮疹、腹瀉、胸悶和便秘,其中大部分自發緩解。
討論
在本研究中,我們對24項隨機臨床試驗進行了全面的薈萃分析,以評估干細胞療法在治療CLD患者中的療效和安全性。據我們所知,到目前為止,系統評價包括最多的隨機對照試驗。我們的研究表明,與常規治療相比,干細胞治療具有更有利的治療效果,包括死亡率和MELD評分降低、ALB水平升高和TBIL水平降低,而ALT、PTA或INR的改善不明顯。沒有報告與干細胞植入相關的嚴重不良事件。總的來說,現有證據表明干細胞療法是一種安全有效的慢性肝病治療選擇。
結論
這項薈萃分析表明,干細胞療法對于慢性肝病患者是一種安全有效的治療方法,而ACLF患者在改善短期生存方面獲益最多。骨髓來源的干細胞單次注射給藥具有優越的治療效果,而肝動脈注射是最佳的細胞輸送途徑。現有研究存在顯著的異質性和高偏倚風險;因此,仍需進一步開展高質量的隨機臨床研究,以獲取更多確鑿證據證明干細胞療法治療慢性肝病的安全性和有效性。
參考資料:Zhou GP, Jiang YZ, Sun LY, Zhu ZJ. Therapeutic effect and safety of stem cell therapy for chronic liver disease: a systematic review and meta-analysis of randomized controlled trials. Stem Cell Res Ther. 2020 Sep 25;11(1):419. doi: 10.1186/s13287-020-01935-w. PMID: 32977828; PMCID: PMC7519526.
掃碼添加微信